본문 바로가기 주메뉴 바로가기

Motor & Inverter Development

Motor Design and CAE Analysis

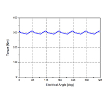
Motor Numerical analysis based electro-magnetic characteristic evaluation
Motor NVH & Durability & Performance CAE analysis
Motor electro-magnetic optimization
  • 2D Analysis

  • 3D Analysis

  • Back EMF

  • Cogging Torque

  • Torque Ripple

  • Eigenmode Analysis

  • Characteristics Curve

  • Efficiency Map